ทำความรู้จัก ยูซี ทู (UC-II®) ตัวช่วยใหม่ของโรคข้อเสื่อม

หลายคนคงคุ้นหูกับ คอลลาเจนชนิดที่ 2 (collagen type II) หรือ คอลลาเจนไทพ์ทู ผลิตภัณฑ์เสริมอาหารที่ได้รับความนิยมในผู้ที่ต้องการบำรุงกระดูกและข้อให้มีความแข็งแรง โดยทั่วไปคอลลาเจนไทพ์ทูที่วางขายในตลาดมักเป็นคอลลาเจนไทพ์ทูชนิด ดีเนเจอร์ คอลลาเจนไทพ์ทู (denatured collagen type II) หรือ ไฮโดรไลซ์ คอลลาเจนไทพ์ทู (hydrolyzed collagen type II) ซึ่งเป็นคอลลาเจนที่ผ่านกระบวนการผลิต ทำให้มีขนาดเล็ก สามารถดูดซึมเข้าสู่ร่างกายและกระจายตัวเข้าสู่กระดูกอ่อนผิวข้อได้ดี บทความนี้จะพาคุณไปรู้จักกับ ยูซี ทู (UC-II®) อันดีเนเจอร์ คอลลาเจนไทพ์ทู (Undenatured Collagen Type II) คอลลาเจนไทพ์ทูรูปแบบใหม่ที่ผลิตจากคอลลาเจนชนิดพิเศษด้วยกระบวนการผลิตที่จำเพาะ ช่วยบำรุงกระดูกและข้ออย่างเต็มประสิทธิภาพ เป็นอีกตัวช่วยใหม่ของผู้ที่มีปัญหาข้ออักเสบหรือโรคข้อเสื่อม
ยูซี ทู (UC-II®) อันดีเนเจอร์ คอลลาเจนไทพ์ทู (Undenatured Collagen Type II) คืออะไร

ยูซี ทู (UC-II®) อันดีเนเจอร์ คอลลาเจนไทพ์ทู (Undenatured Collagen Type II) ผลิตภัณฑ์เสริมอาหารที่จดทะเบียนภายใต้บริษัท ลอนซ่า จำกัด มีกระบวนการผลิตที่จำเพาะ ผ่านการควบคุมอุณหภูมิเพื่อรักษาคุณสมบัติของคอลลาเจนไทพ์ทูจากกระดูกของไก่บริเวณหน้าอกไม่ให้ถูกทำลายด้วยน้ำย่อยในทางเดินอาหาร โดย UC-II® จะถูกดูดซึมผ่านส่วนหนึ่งของลำไส้เล็กที่มีเซลล์ภูมิคุ้มกันอยู่หนาแน่น เรียกว่า กระตุ้นเซลล์ภูมิคุ้นกัน ที (regulatory T cell) ให้จดจำคอลลาเจนไทพ์ทูที่อยู่ในผิวกระดูกอ่อนของข้อ เซลล์ภูมิคุ้นกัน ที จะหลั่งสารที่จำเพาะกระตุ้นการสร้างและซ่อมแซมผิวกระดูกอ่อนของข้อ ช่วยให้ข้อต่อมีความยืดหยุ่นและสามารถเคลื่อนไหวได้ดีขึ้น
คุณสมบัติของ ยูซี ทู (UC-II®) อันดีเนเจอร์ คอลลาเจนไทพ์ทู (Undenatured Collagen Type II)
1.ช่วยเพิ่มองศาการงอเข่าและการเหยียดข้อ
จากการศึกษาทางคลินิก พบว่า UC-II® มีส่วนช่วยในการเพิ่มองศาการงอเข่าและเหยียดข้อได้ โดยหลังรับประทาน UC-II® นาน 24 สัปดาห์ สามารถงอเข่าได้เพิ่มขึ้น 3.23 องศา เทียบกับ 0.21 องศาในกลุ่มที่รับประทานยาหลอก โดยเพศหญิงจะเห็นความแตกต่างที่ดีกว่าคือสามารถงอเข่าได้เพิ่มมากขึ้นถึง 4.79 องศา และเหยียดข้อได้เพิ่มขึ้น 2.21 องศาเทียบกับ 1.27 องศาในกลุ่มที่รับประทานยาหลอก โดยเห็นความแตกต่างที่ดีขึ้นตั้งแต่สัปดาห์ที่ 8 หลังรับประทาน UC-II®

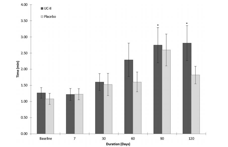
2.ช่วยบรรเทาอาการปวดจากภาวะข้อเข่าเสื่อม
มีการศึกษาทางคลินิกที่ชี้ให้เห็นว่า UC-II® ช่วยบรรเทาอาการข้อเข่าเสื่อมได้ดีกว่าการรับประทานสารกลูโคซามีน (glucosamine) และสารคอนดรอยติน (chondroitin) ที่เป็นส่วนหนึ่งในการรักษาโรคข้อเข่าเสื่อม โดยพบว่าการเปลี่ยนแปลงของคะแนนการประเมินประสิทธิภาพของการรักษา ซึ่งประเมินจากความเจ็บปวด ความยืดหยุ่น และการทำงานของข้อ หรือ WOMAC scores ดีขึ้นหลังจากรับประทาน UC-II® 40 mg นาน 90 วัน เมื่อเทียบกับกลุ่มที่รับประทานสารกลูโคซามีนและสารคอนดรอยติน

และการรับประทาน UC-II® นาน 90 วัน สามารถเพิ่มระยะเวลาการใช้งานของข้อโดยไม่มีอาการปวดได้อย่างมีนัยสำคัญทางสถิติเมื่อเทียบกับกลุ่มที่รับประทานยาหลอก

หากคุณมีอาการปวดข้อ หรือปัญหาด้านการเคลื่อนไหวที่มีสาเหตุมาจากภาวะข้อเสื่อม ยูซี ทู (UC-II®) อันดีเนเจอร์ คอลลาเจนไทพ์ทู (Undenatured Collagen Type II) อาจเป็นตัวช่วยใหม่สำหรับภาวะข้อเสื่อมที่คุณมองหาอยู่ อย่างไรก็ตามอย่าลืมหลีกเลี่ยงปัจจัยที่ทำให้ความเสื่อมของข้อมีความรุนแรงมากขึ้น เช่น น้ำหนักตัวที่มากเกินไป การคุกเข่า คลาน กีฬาที่เกิดแรงกระแทกต่อข่อเข้าได้มาก เช่น ฟุตบอล เป็นต้น
WeNature
Your Daily Dose of Vitality
วันดี ๆ มีได้ทุกวันด้วยวีเนเจอร์
เอกสารอ้างอิง
1. UC-II® Cited on June 5, 2024. Available from: https://www.uc-ii.com/what-is-uc-ii.html
2. Gencoglu H, Orhan C, Sahin E, Sahin K. Undenatured Type II Collagen (UC-II) in Joint Health and Disease: A Review on the Current Knowledge of Companion Animals. Animals (Basel). 2020 Apr 17;10(4):697.
3. Christiane Schon, Katharina Knaub, Wilfried Alt, Prof. Dr. Shanew Durkee, Zainulabedin Saiyed and Vijaya Juturu. UC-II Undenatured Type II Collagen for Knee Joint Flexibility: A multicentetr, randomized, Double-Blind, Placebo-Controlled Clinical Study. Journal of Integrative and Complementary Medicine 2022(28): 540-548.
4. David C. Crowley, Francis C. Lau, Prachi Sharma, Malkanthi Evans, Najla Guthrie, Manashi Bagchi, et al. Safety and Efficacy of Undenatured Type II Colaagen in The Treatment of Osteoarthritis of The Knee: A Clinical Trial. International Journal of Medical Sciences 2009(6): 312-321.
5. James P Lugo, Zainilabedin M Saiyed, Francis C Lau, Jhanna Pamela L Molina, Michael n Pakdaman, Arya Nick Shamie, et al. Undenatured type II Collagen (UC-II) for Joint Support: A Randomized, Double-Blind, Placebo-controlled Study in Healthy Volunteers. Journal of The International Society of Sports Nutrition 2013; 10:48.


